1引言
永磁同步电动机除了自身结构的优点外,近年来随着永磁材料的发展,以及功率电子学技术和控制技术的发展,永磁同步电动机的应用越来越广泛。 凸极式永磁同步电动机由于具有更高的输出密度和更好的动态性能,在实际应用中越来越受到重视[1]。
高性能的永磁同步电动机控制系统中主要采用的矢量控制。 交流电动机的矢量控制由德国学者blaschke于1971年提出,从而从理论上解决了交流电动机转矩的高性能控制问题。 该控制方法首先应用于感应电动机,但很快被移植到了同步电动机中。 事实上,在永磁同步电动机中矢量控制很容易。 这是因为这样的电动机在矢量控制中感应电动机不存在滑动频率电流,控制对参数(主要是转子参数)的影响也很小。
永磁同步电动机的矢量控制本质上是定子电流在转子旋转坐标系(dq0坐标系)中的两个分量的控制。 因为电机的电磁转矩的大小取决于上述两个定子电流分量。 根据给出的输出转矩,有多种不同的d、q轴电流的控制组合。 不同的组合会影响系统的效率、功率因数、电机端电压和转矩输出能力,从而形成各种永磁同步电动机的电流控制方法。 [2]针对凸极型永磁同步电动机的特点,本文采用最优转矩控制(mtpa ),用更适合实际应用的方法实现,并进行了仿真验证。

图1电流id、iq和转矩te的关系曲线
2永磁同步电动机的数学模型
首先,需要建立永磁同步电动机转子转速dq0坐标系下的数学模型,该模型不仅可以用于电动机稳态运行性能的分析,还可以用于电动机瞬态性能的分析。
为了建立永磁同步电机的dq0轴系数学模型,首先,(1)忽略电机铁心的饱和; (2)不计算电动机的涡流和磁滞损耗; (3)转子上没有阻尼线圈; 4 )电机的反电动势为正弦波。
这样,得到了永磁同步电动机dq0轴系中的数学模型的电压、磁链和电磁转矩方程式,分别如下。

(一) ) )。

(二) ) )。

(三) )
式中,ud和uq是dq轴上的电压分量; id和iq是dq轴上的电流分量; rs为定子绕组电阻时; ld和lq为dq轴上电感,d和q为dq轴上的磁链成分,e为转子的电角速度; f是永久磁铁磁链; pn是极对数。

图2 mtpa矢量控制系统的仿真图
3最佳转矩(mtpa )控制原理与实现(3-9) )。
最佳转矩控制也称为最大转矩电流比控制(mtpa ),是指在施加转矩时,将d轴和q轴的电流分量配置为最佳,使定子电流最小。 MPA控制可以减少电动机的铜消耗,提高运行效率,从而优化整个系统的性能,同时减轻变频器的工作负担。
如果将式(2)代入式)3),则得到以下结果。

(四) )。
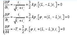
最佳转矩控制问题等价于定子电流满足式(4)条件的极值问题。 作为拉格朗日函数:

(五) )。
其中,是拉格朗日乘数。 将式(5)分别针对id、iq、求出偏导数,分别设为0时,如下所示。

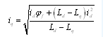
由式(6)的前两项可以得到iq与id之间的关系:
(7)
将式(7)代入式(4),便可以得te和id的关系:
(8)
式(7)和式(8)就是mtpa控制方法在运行时,te、id和iq这三者之间应该满足的关系式。
我们在实际控制时,需要知道任意时刻的te参考值所对应的id和iq参考值,这就需要得到像这样的关系式。从式(7)和(8)可以知道,要反解出id=f(te)和iq=f(te)这两个关系式是很困难的,而且即便能解出来,也需要大量的运算。这难以满足实际运用的需求,所以,需要一种简洁的适合实际应用的方法。
利用matlab这个工具可以来实现这种方法。首先,根据式(7)和(8)我们可以画出id=f(te)和iq=f(te)的函数曲线,如图1所示,电机参数与后续仿真所用参数一致。
然后通过曲线拟合的方式得到近似的多项式函数。针对所用的仿真电机参数,用三阶多项式函数就能达到几乎重合的拟合效果,如图1所示,具体的表达式如下:
(9)
于是,当参考转矩指令t*e给定后,就能根据上式得到对应的参考电流i*d和i*q。进而得到定子电压的参考值u*d和u*q,之后便可利用svpwm调制出逆变器的开关信号,完成对电机的矢量控制。
图3 转速波形
4 仿真实验及结果分析
针对上述方法,利用matlab/simulink建立系统的仿真模型进行仿真研究。电机参数如下:rs=2.875ω,ld= 4.5mh,lq=13.5mh,φf=0.179wb,pn=4,j=0.000815kg·m2。整个控制系统仿真图如图2所示,部分模块进行了封装处理。其中,直流母线电压为300v,逆变器开关频率为10khz,svpwm采用两电平结构。
图4 转矩波形
图5 三相定子电流波形
仿真设置如下:电机空载启动,初始给定转速为3000r/min,0.1s时加入额定负载3n.m,0.2s时转速增加到4000r/min,0.4s时转速再降回3000r/min。转速环和电流环都采用pi调节器进行调节。其中速度pi调节器参数为kp=0.06,ki=0.75;d轴电流调节器参数为kp=4.5,ki =1.8;q轴电流调节器参数为kp=6.5,ki =1.8。
图6 d-q轴电流波形
图3~图6分别为仿真实验得到的转速、转矩、三相定子电流和dq轴电流波形图。当不采用mtpa电流控制策略而采用传统的id=0电流控制策略时,当仿真转速给定条件一致时,三相定子电流波形和转速波形分别如图7和图8所示。
图7 id=0控制时三相定子电流
图8 id=0控制时转速波形
从仿真结果可知,采用mtpa控制时,在启动、突加负载、增大给定转速和减小给定转速时,电机实际转速都能快速的跟踪转速指令,这说明控制系统的动态性能很好。在相同的运行条件下,与id=0控制相比,mtpa控制时的定子电流明显要小得多,转速响应几乎没有超调。这说明采用曲线拟合来实现的mtpa控制能优化配置d轴和q轴电流分量,保持系统正常运转所需的电流最小值。同时也可以看出,在减小转速给定值时,转矩和电流波动较大,这在实际运用中有可能会影响整个系统的稳定性,所以还可以进行一些优化控制。
本文提出了一种凸极式永磁同步电动机最优转矩矢量控制策略,并用更符合实际应用的方法进行实现。该策略使电机转矩在满足要求的条件下电流最小,提高了系统的效率。从仿真结果可以看出这种方法让控制系统具有良好的动态性能。说明这种方法是有效可行的。接下来可以结合这种方法和凸极式永磁同步电动机的结构优点,进行无位置传感器控制方法的研究。
参考文献
[1] 唐任远.现代永磁电机理论与设计[m]. 北京:机械工业出版社,1997.[2] 沉静的小兔子.交流同步电机调速系统[m]. 北京:科学出版社,2006.[3] xndct,有魅力的果汁.永磁同步电动机直接转矩控制系统的最大转矩电流比控制[j].微特电机,2007(1):3-26.
