离心泵的性能曲线图
离心泵的特性曲线图
由上图看出压头,轴功率,效率与流量关系(H-Q,N-Q,η-Q)的曲线。针对实际流体,这些曲线难以用理论推出,而是由实验测定。
离心泵的特性曲线反映出该泵的基本性能,水泵厂家会在每个产品中配有使用说明书。上面有专门的产品特性曲线图,这时可以正确选择和操作离心泵的依据。
1、H-Q曲线:代表该泵的压头以流量的关系。
变化趋势一般是:随流量的增加,扬程的减少,其原因是因为能量损失较小的后弯叶轮。
2、N-Q曲线:代表该泵的轴功率与流量的关系。
变化趋势:流量的增加,轴功率增加。流量为0时,轴功率减小,但不等于为0。
3、η-Q曲线:随着流量的增加,该泵的效率曲线出现了一个较大值(效率较高点),在与其对应的流量下工作,该泵的能量损失较小。
4、离心泵的铭牌上标出的H,Q,N性能参数为较高效率时的数据,称为理想工况点。较高效率值的92%的范围称为该泵的高效区,应该尽量在工作范围内操作。
离心泵性能的影响因素
1、密度的影响:H,Q,η与密度无关。该泵的轴功率所流体密度而改变,密度增加,轴功率也会有所增加。
2、粘度的影响:粘度增加,能量损失增加。H,Q,η下降,轴功率会上升。
液体粘度的改变直接影响离心泵内能量损失,H-Q,N-Q,η-Q曲线将随之变化。
3、叶轮转速的影响:当转速变小为20%时,可以认为效率不变,各变量之间的近似关系(比例定量)为:
离心泵的比例定量图
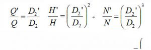
4、叶轮直径的影响:转速一定时,压头,流量与叶轮直径有关,若是同一型号的离心泵,换用直径减小的叶轮,其他几何尺寸不变(仅是出口处叶片的宽度稍有变化,这种现象称为叶轮的切割。
在叶轮直径的变化不大于20%时,转速不变,叶轮直径和流量,压头,轴功率之间的近似关系(切割定律)为:
离心泵的切割定律图
