循环离心泵是输水中常用的泵之一,泵房内的地坪标高取决于水泵的安装高度,正确地计算水泵的允许安装高度,使泵站既能安全供水,又能节省土建造价,具有很重要的意义。
为了避免水泵汽蚀现象的发生,离心泵的安装高度需要进行非常仔细的校核计算。水泵进水侧装置形式:
水泵安装高度示意图
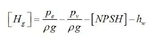
循环泵的允许几何安装高度与多方面条件有关,公式如下:

[Hg]—泵的允许几何安装高度,m;(计算结果供设计时利用,实际安装高度需低于允许安装高度)
pe—吸水水面压力,Pa;(为吸水水面的大气压,海拔越高大气压越低)
pv—饱和蒸汽压力,Pa;(与水温有关,水温越高,饱和蒸汽压力越高)
ρ—流体的密度,kg/m3;
g—重力加速度,9.81m/s2;
[NPSHr]—水泵的允许汽蚀余量,m;(与水泵性能有关,由水泵厂家提供)
hw—吸入管路中的水头损失,m。(与吸水管路设计有关,由设计人员确定)
由上式可知:
海拔越高,水温越高,水泵允许的汽蚀余量越大,进水管的水头损失就越大,允许的几何安装高度越小
不同海拔时的大气及对应的水头高度:

例:圣博凯斯泵阀VISO125X100-315-55/2水泵汽蚀余量为[NPSHr]=3.29m,欲在海拔500m高度的地方工作,该地区夏季最高水温为40℃,若吸水管的水头损失为1m,则该泵在当地的运行几何安装高度[Hg]计算如下:
设:吸水水面压力为当地大气压,由表查得海拔500m处大气压头9.7m;
水温40℃时,水的饱和蒸汽压头为0.752m;
计算得:
[Hg]=9.7-0.752-3.29-1=4.658m
