水泵的型谱图中的Ns表示水泵的比转数。
图一离心泵
比转速是指相似模型泵(模型水轮机)的转速,也叫比转数。这里的模型是指:有效功率735.5W(1HP,即1马力),扬程(或水轮机的作用水头)Hm=1m,流量Q=0.075m^3/s。
由于叶片泵的叶轮构造和水力性能的多种多样性,大小尺寸也各不相同,为了对整个叶片泵进行分类,将同类型的立式离心泵组成一个系列,这就需要有一个能够反映泵共性的综合性的特征数,作为离心泵规范化的基础,这个特征数称为离心泵的相似准数,又称比转数。
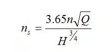
在我国,用下式计算比转速:如下图二:
图二比转数计算公式
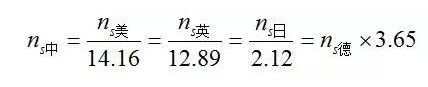
在处理日常工作中,会遇到不同国家的比转速表达方式。不同国家的比转速表达方式不同,最终的单位也有所区别。不同比转速公式之间的换算关系如下:
图三各国比转数换算公式
式中: Ns ——比转速,r/min;Q——m³/s,水泵或水轮机的流量; H—— m,水泵扬程或水轮机水头;n—— 水泵或水轮机的转速, r/min。
关于比转速说明
1、同一台泵在不同工况下具有不同的ns值,作为相似准则的是指对应最高效率点工况下的值。
2、比转速是根据相似理论推得的,可以作为相似判据,即是说几何相似的泵在相似工况下ns值相等。反之,一般说来ns值相等的泵,是几何相似和运动相似的。但不能说ns相等的泵就一定几何形状相似。这是因为构成泵几何形状的参数很多,譬如说同是ns=500的泵可以做成轴流式的,也可作成混流式的,同一低比转泵叶轮可以用6枚叶片,也可用7枚叶片。上述这些几何不相似的泵,ns可能相等。但是对于同一种形式泵而言,ns相等时,要想使泵的性能好,即几何形状符合客砚的流动规律,其几何形状相差不会很大,所以,一般说来是几何相似的。
3、比转虽速然是有因次数,但不影响它作为相似判据的实质意义。对于几何相似的泵,在相似工况下,用统一单位计算的ns值相等。
比转速与叶轮形状和性能曲线形状的关系
因为ns是泵几何相似的准则,所以可按ns对泵进行分类,又因为ns是运动相似的准则,所以又可按ns对泵特性曲线(运动参数的外部表现形式)的趋势进行分类。运动相似的前提条件是几何相似,所以泵特性曲线的形式和泵的几何形状有关。
图四泵特性曲线的形式和泵的几何形状有关。
比转速由低到高,水泵参数一般由小流量向大流量变化,扬程则又高到低变化。理论上,只要叶轮出流存在径向流动,随着比转速的增大(泵比转速),压水室(导流壳)的体积将会变得非常庞大,因此最终流动方向变成轴向流动才是合理的。
比转速小于23的一般为旋涡泵,比转速大于23小于300的泵,一般为离心泵(比转速=23~80为低比转速,比转速=80~150为中比转速,比转速=150~300为高比转速);大于300小于500的泵一般为混流泵;大于500小于1500的泵一般为轴流泵。
离心泵的扬程——流量曲线一般呈单调下降的抛物线形式(低比转速泵容易出现驼峰,即曲线上有最高点),混流泵和轴流泵曲线呈马鞍形(曲线有拐点)。
水泵的NS>50是指水泵的比转数大于50,NS即比转数。比转数可以作为机器分类、系列化和相似设计的依据。比转数小反映机器的流量小,全压(或扬程、水头)高;反之,比转数大则机器的流量大,全压(或扬程、水头)低。前者适合离心式,后者适合轴流式,混流式(斜流式)介于两者之间,所以可用比转数大小划分机器类型。在设计机器时先按给定的参数计算比转数,再根据比转数大小决定机器类型。比转数大小也反映叶轮的形状。[比转数与叶轮形状的关系]为不同类型泵的比转数与叶轮形状的关系。比转数越大叶轮外径就越小,而宽度越大。反之,比转数越小,则叶轮外径越大,宽度越小。在一定流量和全压(或扬程、水头)下,比转数与机器转速成正比。提高转速可减小叶轮外径,增加宽度;而降低转速,则须增加叶轮外径,减小宽度。
概念:关于对一系列几何相似的泵、性能之间的综合数据。简单来说,它是反映叶轮机械综合性能的指标。
水泵类型与比转数的关系:
离心泵:30 混流泵:300 轴流泵:500
